E-619 用于压电陶瓷促动器的大功率放大器
用于连续动态应用的模块化系统
- 峰值功率高达1200瓦
- 电流高达10安
- 集成式能量回收实现低功耗
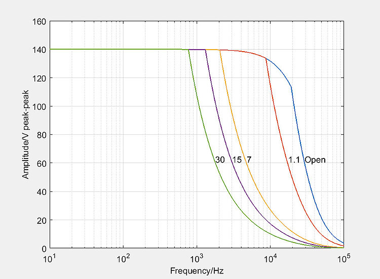
- 达20千赫兹带宽用于高动态应用
- 带温度传感器对压电陶瓷促动器进行过热保护
- 可选控制和数字接口升级
E-619 用于压电陶瓷促动器的大功率放大器
产品描述
规格
下载
报价/订购
用于压电陶瓷促动器的高功率放大器
高峰值电流,连续电流大于5安。高带宽用于实现高动态。适用于带特殊电极的PICMA压电陶瓷促动器。输出电压为-30到130伏。模拟控制。温度传感器评估防止压电陶瓷促动器过热
高效率
D级开关式放大器,带电容器用于能量回收。散热减少使得应用的影响小
可选伺服控制器升级
可选用于带集成式位置传感器(应变片传感器,电容式)的纳米定位系统的控制模块。可选带波形发生器的接口模块、数据记录器、数字接口(TCP/IP、USB、RS-232、SPI)。可选与来自National Instruments的D/A转换板和NI LabVIEW软件一同使用的驱动程序集
应用领域
机械工程:高动态安放、振动吸收器、非圆磨削、阀门控制、物料检测、测试设备
高动态偏摆镜应用
规格
规格
放大器 | E-619.H / E-619.00 | E-619.S |
|---|---|---|
输入电压范围 | -2至12伏 | - |
输出电压 | -30至130伏 | 100 V |
峰值输出功率(<5毫秒) | 1200瓦 | 1200瓦 |
平均输出功率(>5毫秒) | 相当于800伏安无功功率 | 相当于800伏安无功功率 |
峰值电流(<5毫秒) | 10安 | 10安 |
平均输出电流(>5毫秒) | >5安 | >5安 |
电流限制 | 防短路 | 防短路 |
电压增益 | 10 ±0.1 | - |
放大器带宽,小信号 | 20千赫兹 / 3千赫兹 | - |
纹波,噪声,0至10 千赫兹 | <2毫伏均方根 | <2毫伏均方根 |
电容底座负载(内部) | 2微法/1微法 | 2微法 |
推荐压电负载 | >1微法 | >1微法 |
输出阻抗 | 0.1欧;53微亨;2微法/0.1欧;1毫亨;1微法 | 0.1欧;53微亨;2微法 |
放大器分辨率 | <2毫伏 | <2毫伏 |
放大器的分类 | D级,开关式 400 千赫兹/100千赫兹 | D级,开关式 400千赫兹 |
输入阻抗 | 100千欧 | - |
报价/订购
就所需数量、价格和供货周期请求免费报价或描述您所需的改型。
E-619.H
高功率压电放大器模块,1通道,20千赫兹带宽,1200瓦峰值输出功率,-30至130 伏
E-619.00
高功率压电放大器模块,1通道,3千赫兹带宽,1200瓦峰值输出功率,-30至130 伏
E-619.S
偏摆台的偏移电压源,1通道,1200瓦峰值输出功率,100伏固定电压
E-619.R1
用于E-619高功率压电放大器模块的9.5英寸外壳,1通道
E-619.R3
用于E-619高功率压电放大器模块的19英寸外壳,3通道
可选升级
E-509.C1A
传感器/伺服控制器模块,电容传感器,单通道
E-509.C2A
传感器/伺服控制器模块,电容传感器,双通道
E-509.C3A
传感器/伺服控制器模块,电容传感器,三通道
E-509.E03
PISeca模块化单电极电容式传感器的评估电子单元,三通道
E-509.E3
用于电容式单电极传感器的PISeca 传感器/伺服控制器模块,三通道
E-509.S1
传感器/伺服控制器模块,应变片传感器,单通道
E-509.S3
传感器/伺服控制器模块,应变片传感器,三通道
E-518.I3
接口模块,三通道,TCP/IP,USB和RS-232接口
E-500.ACD
用于模拟控制器的NI LabVIEW驱动程序套装

















